
- 作者: D.F. Walls,Gerard J. Milburn
- 出版社/メーカー: Springer
- 発売日: 2010/02/12
- メディア: ペーパーバック
- この商品を含むブログを見る
This is intended to fill some gaps in calculation details in the book above.
5.1.1 Degenerate Parametric Amplifier
Preparation: basics of the interaction picture
Suppose that the Hamiltonian consists of the time-independent part plus the time-dependent interaction part
.
Define the state vector and the interaction term in the interaction picture in conjunction with the ones in the Schroedinger picture
You can prove that they follow the equation of motion below.
To calculate the expectation value for an operator , define the operator in the interaction picture and combine it with the state in the interaction picture.
Since the operator in the interaction picture is the same as the one in the Hisenberg picture with , it follows the equation of motion below.
In the special case, when the interaction operator and your operators
in the interaction picture are time-independent, you have the following relationships.
--- (4.1)
Especially, the latter means that the operator in the Heisenberg picture is obtained as
--- (4.2)
Hence it follows the equations of motion below.
--- (4.3)
Degenerate Parametric Amplifier
Using the relationship (1.1), you can prove that:
So this is a special case of the time-independent .
Calculate in the interaction picture.
Hence,
Now we define the rotated coordinates at a fixed time :
Convert it to the interaction picture and set .
This means that the (time-independent) operators and
represent the rotated coordinates at
in the interaction picture.
Now you can use (4.2) and (4.3) to figure out the rotated coordinates in the Heisenberg picture to understand the physical effects on the initial state .
Likewise,
Hence,
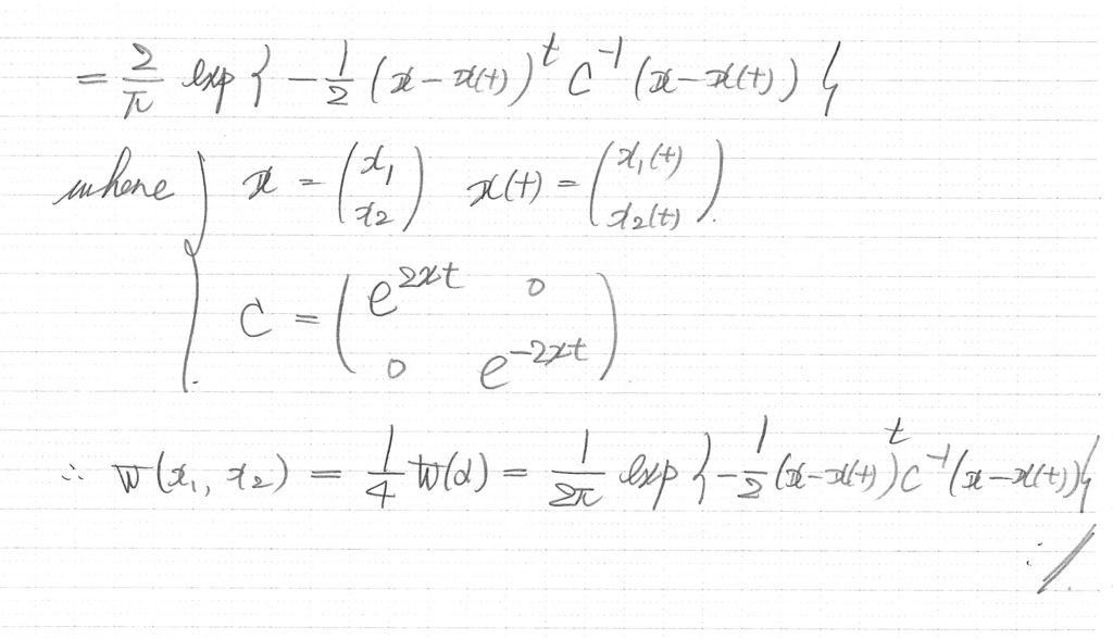
So you can see the squeezing effect on the rotated coordinates.
Since are the rotated coordinates in the interaction picture, and they are time-independent, you can apply (4.1) to calculate the expectation value as
And now you can see that the time evolution has the same effect as the squeeze operator
This explains the squeezing effect obtained above.


