めもめも

このブログに記載の内容は個人の見解であり、必ずしも所属組織の立場、戦略、意見を代表するものではありません。

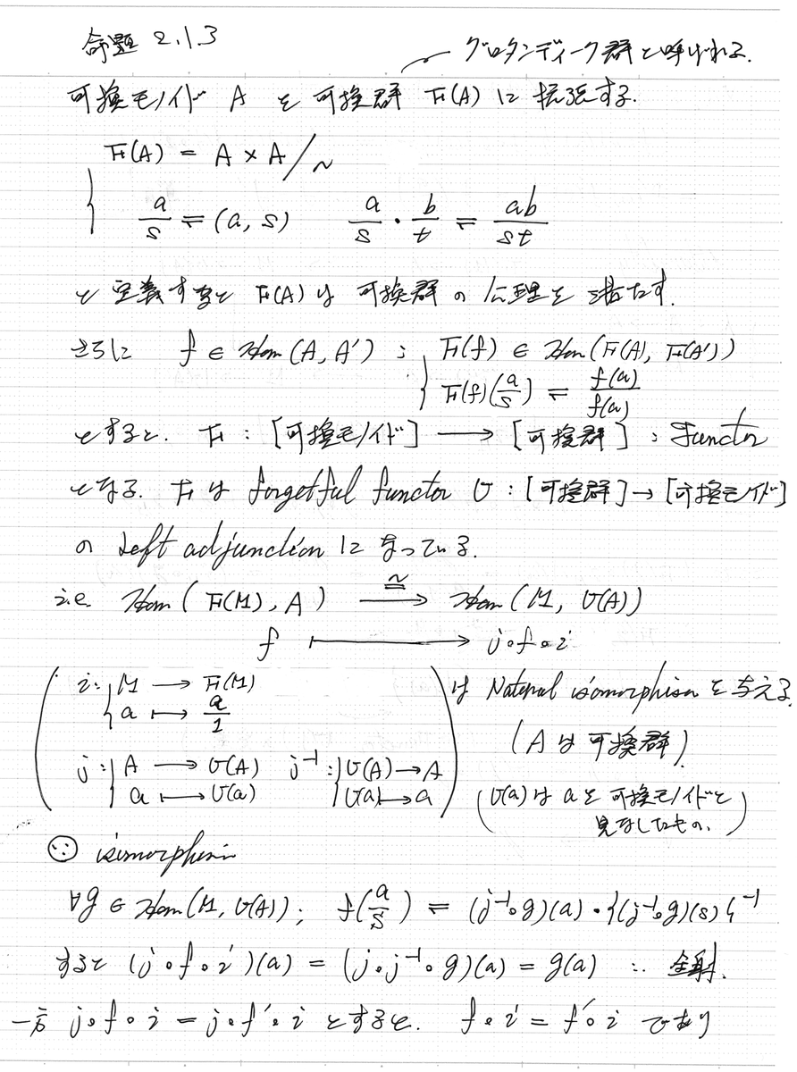
可換モノイド⇨可換群 / 環(整域)⇨体 / 加群⇨線型空間 の拡張を統一的に捉える

enakai00.hatenablog.com

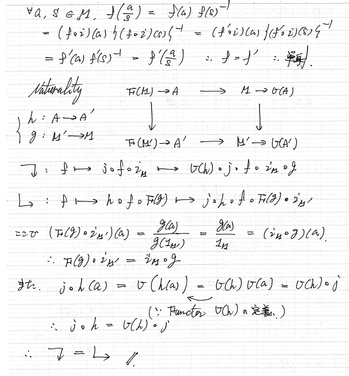
上記の記事では、可換モノイドを可換群に拡張する随伴関係を大雑把に示しましたが、圏論の随伴関係としての構成をまじめに示した上で、同様の議論が、

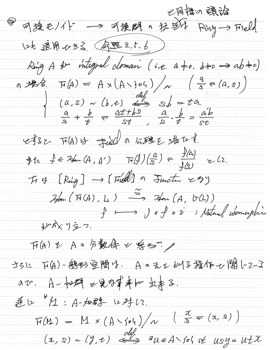
  • 環(整域)を体に拡張する場合

  • 加群を線型空間に拡張する場合

にも適用できることを示します。

これは、下記の書籍の命題2.1.3、命題2.5.6、命題2.5.8に相当します。

数学原論

数学原論

Amazon