
- 作者: 圏論の歩き方委員会
- 出版社/メーカー: 日本評論社
- 発売日: 2015/09/09
- メディア: 単行本
- この商品を含むブログを見る
オフィスの机の上に新たな挑戦状(上記の本)が置いてあったので読んでみると、Kleisli tripleとMonadの関係が説明されていて、「そういえば、Kleisli tripleとMonadの同値性って、ちゃんと証明したことなかったなー」と思って書き始めたのがこのエントリーです。
いったい何の寝言を言ってるのかと思われそうですが・・・
HaskellのMonadを圏論の言葉に置き換えて理解する際に、圏論における「Kleisli triple」に対応させる方法と、圏論における「Monad」に対応させる方法があります。圏論の世界で「Kleisli triple」と「Monad」は互いに変換可能なので、どちらを用いても理論的には同じなのですが、HaskellのMonadを理解する際に、「Kleisli triple」として見る方法と「(圏論における)Monad」として見る方法を使い分けると便利なことがよくあります。というわけで、これらの関係を整理するのがこのエントリーの目標です。次の順番で解説を進めます。
(i) HaskellのMonadと圏論におけるKleisli tripleの関係
(ii) HaskellのMonadと圏論におけるMonadの関係
(iii) 圏論におけるMonadとKleisli tripleの同値性の証明
HaskellのMonadと圏論におけるKleisli tripleの関係
まず、HaskellのMonadはご存知の通り、次のMonad則を満たす演算として定義されます。
return :: A -> TA f :: A -> B g :: B -> C return x >>= f == f x ―――(1) m >>= return == m ―――(2) (m >>= f) >>= g == m >>= (\x -> f x >>= g) ―――(3)
ここで、圏論の記法に合わせるために、変数の型を大文字(A,B,C)、型コンストラクタをTと表記しています。
続いて、圏論におけるKleisli triple (T, η, #)は、次のように定義されます。これは、圏の種類によらずに定義できるのものですが、ここでは、Haskellとの対比を明確にするため、対象とする圏は、Haskellの変数型を「対象」、関数を「射」として定義されるものとします。
・対象Aに対して、別の対象TAを割り当てるルールTが決まっている。
・各対象Aについて、A -> TAの射 が用意されている。(
を集めた射の族をηと表記しています。)
・#は、射(A -> TB)を射(TA -> TB)に変換する写像の族である。
・ηと#は、次の法則を満たす。
―――(1')
―――(2')
―――(3')
ここで、# は、
f :: A -> TB
のお尻を上げて、
f# :: TA -> TB
に変換する演算であることに注意します。
この時、次の対応関係によって、HaskellのMonadとKleisli Tripleを関連付けることができます。
・return ⇔ η
・m >>= f ⇔
つまり、がreturn演算子に対応しており、Monadの合成演算は、「#でfのお尻を上げてから、mを代入する」操作に対応します。
ここで、(1)〜(3)のMonad則は、(1')〜(3')の法則に対応することが分かります。
まず、上記の対応関係で、(1)をKleisli Tripleの言葉に直すと次のようになります。これは、(1')とまったく同じものです。
(2)は、次のようになります。これは、(2')と同じです。
最後の(3)は次になります。これは、(3')と同じになります。
このように、Kleisli Tripleの言葉に翻訳することにより、Monadの合成(>>=)を「お尻あげ演算子 #」を使って理解(議論)することが可能になります。
HaskellのMonadと圏論におけるMonadの関係
圏論におけるMonadは、関手と自然変換を使って定義されるので、ちょっと理解が大変です・・・。(HaskellのMonadと見た目がえらい異なります。)圏論におけるMonad (T, η, μ) は、次のように定義されます。
まず、Tは、対象とする圏の自己関手とします。また、idは、恒等関手とします。
次に、ηは、id -> T の自然変換、つまり任意の射 f (A->B) に対して、次の図式を可換にする射 の族です。
―――(4)
μは、T^2 -> T の自然変換、つまり任意の射 f (A->B) 対して、次の図式を可換にする射 の族です。
―――(5)
ここで、ηは関手の皮を被せる演算であるのに対して、μは、関手の皮を一枚はがすような演算になっている事に注意します。次のようにスタックすると分かりやすくなります。
そしてさらに、これらの演算は、次の図式を可換します。
数式で表すと次のとおりです。
―――(6)
―――(7)
―――(8)
これで、「圏論におけるMonad」の定義は終わりです。
そして、これは、次の対応関係でHaskellのMonadと関係づけることができます。
・return ⇔ η
・m >>= f ⇔
Monadの合成において、Kleisli tripleの場合は、fのお尻を上げて対応したのに対して、こちらでは、関手Tで、fの頭とお尻の両方を持ち上げておいて、最後にμで、関手の皮を一枚はがしています。
これらが同じ関係を表すことは、この後で証明することにして、ここではひとまず、Monad則の対応を確認しておきます。
まず、(1)は、圏論のMonadで書き直すと次のようになります。
これは、(4)と(6)を使って示すことができます。
(∵(4)でBをTBとした場合)
(∵(6)でAをBとした場合)
(2)は、次のようになります。これは、(7)と同じことです。
最後に(3)は、次のようになります。
これは、(5)と(8)を使って示すことができます。
(∵(5)でAをB、BとTC、fをgとした場合)
(∵(8)でAをCとした場合)
(∵Tは関手)
というわけで、(4)〜(8)のすべてを合わせると、Monad則と一致することがわかります。
圏論におけるMonadとKleisli tripleの同値性の証明
まず、(1')〜(3')を満たすKleisli triple (T, η, #) が与えられた際に、これから対応する圏論としてのMonadを構成します。
まず、射 f (A->B)に対して、Tによる射の変換を定義すると、Tは、自己関手になります。
―――(4')
自己関手であることの証明は次のとおりです。
f (A->B), g (B->C)に対して、
(∵(3'))
(∵(1'))
したがって、
また、
(∵(2'))
したがって、Tは関手の条件を満たしています。
次に、射の族 μ を次式で定義します。
―――(5')
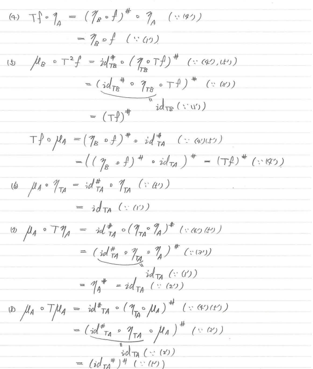
(1')〜(5')の関係を用いると、Monadの条件(4)〜(8)をすべて示すことができます。
なお、(5')を見ると、TA->TA の恒等写像のお尻を上げることで、皮をはがす演算子 μ (T^2 A -> TA)が作られることが分かります。
今度は逆に、圏論としてのMonad (T, η, μ) が与えられた際に、これから対応するKleisli tripleを構成します。
まず、射 f (A->TB) に対して、お尻を上げる演算 # を次で定義します。
この時、Monadの条件(4)〜(8)を用いると、Kleisli tripleの条件(1')〜(3')を示すことができます。こちらも単純計算なので、証明は省略します。
こちらの場合は、関手で頭とお尻を持ち上げた後に、μで頭を落とすことで、お尻を上げる演算 # が構成されていることが分かります。











